اسئلة امتحان نصف السنة 2021 سادس علمي تطبيقي مع الاجوبة النموذجية
اهلا بكم متابعي موقع وقناة الاستاذ احمد مهدي شلال في هذا الموضوع سنعرض لكم شرح كامل عن
اسئلة امتحان رياضيات نصف السنة 2021 سادس علمي تطبيقي مع الاجوبة النموذجية
لا تنسى زيارتنا باستمرار للحصول على كل شيء جديد ومميز معنا محبكم 💗 لاتنسون احبكم
الاسئلة للفصل الاول والثاني فقط
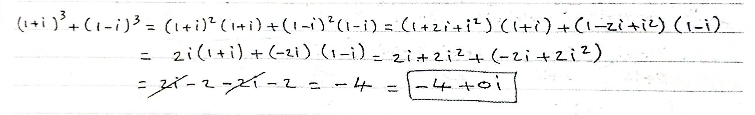
الاعداد المركبة - القطوع المخروطية
اسئلة امتحان نصف السنة 2021 سادس علمي تطبيقي الرياضيات
الاجوبة النموذجية
اسئلة امتحان نصف السنة 2021 سادس علمي تطبيقي مع الاجوبة النموذجية
انتهى الموضوع شكرا (لك / لكِ)
مهم لك عزيزي الزائر الكريم شرفتنا ونحب تواجدك معنا
قنوات ومواقع التواصل الاجتماعي الرسمية للاستاذ احمد مهدي شلال تابعنا باي مكان تريد حيث المصداقية والحقيقة في النشر اولا باول وهذه هي المواقع الرسمية اختر ما تريد
القناة الرسمية على اليوتيوب أضغط هنا
الموقع الرسمي على الانترنت أضغط هنا
الصفحة الرسمية على موقع الانستكرام أضغط هنا
القناة على التلكرام أضغط هنا
صفحة الفيس بوك الرسمية أضغط هنا
تابعنا على تويتر أضغط هنا
كروب الاستاذ احمد على الفيس بوك الرسمي التعليمي أضغط هنا
قناة الالعاب أضغط هنا
--------------------------------
التعريف بالموقع : هذا الموقع تابع للاستاذ احمد مهدي شلال بشكل رسمي وكل ما ينشر في الموقع يخضع للمراقبة وموقع الاستاذ احمد غير مسؤول عن التعليقات على المواضيع كل شخص مسؤول عن نفسه عند كتابة التعليق بحيث لا يتحمل موقع الاستاذ احمد مهدي اي مسؤولية قانونية حيال ذلك
==========
ملاحظة مهمة : لاتنسى دائما ان للاستاذ احمد مهدي شلال قناة رسمية على موقع اليوتيوب باسم ( احمد مهدي شلال عباس المهداوي ) حيث اقوم بنشر شروحات دروس الرياضيات لكافة المراحل الدراسية مرحلة الابتدائي ( اول ابتدائي وثاني ابتدائي وثالث ابتدائي ورابع ابتدائي وخامس ابتدائي وسادس ابتدائي ) ومرحلة المتوسطة ( اول متوسط وثاني متوسط وثالث متوسط ) ومرحلة الاعدادية ( رابع علمي ورابع ادبي وخامس ادبي وخامس علمي تطبيقي وخامس علمي احيائي وسادس ادبي وسادس علمي احيائي وسادس علمي تطبيقي ) كلها تجدوها في قناتي الرسمية وايضا لدي قناة ثانية رسمية على موقع اليوتيوب باسم ( احمد مهدي Gaming ) مهتم بهذه القناة بمجتمع يختلف عن القناة الاولى في هذه القناة اقوم بنشر الالعاب الالكترونية بكل انواعها اسعى لزرع البسمة في وجوهكم وتغيير جو الدراسة
وفي موقعي هذا ايضا اقوم بنشر اسئلة امتحان متنوعه ، مرشحات , اجوبة نموذجية للسادس الاعدادي ، وكل شيء يخص الكليات والمعاهد في العراق ،
============
اذا كنت حاب تدعم الاستاذ احمد مهدي ماديا من داخل العراق وماعندك حساب باي بال او بطاقة مصرفية تكدر تدعمنا بتحويل رصيد حته لو بـ 1 الف دينار راح تسوي فضل كبير بتطوير القناة
الارقام هي
07711825892
07500127205
07824362700
دعمك النا هو سر استمرارنا شكرا لكل شخص قدم الدعم
---------------------------------
طريقة تحويل الرصيد بالاسياسيل
اكتب *222* او اتصل على *123* المبلغ المراد تحويله * رقم الهاتف المرسل اليه الرصيد # ثم اتصال
---------------------------------
طريقة تحويل الرصيد بالعراقنا ( زين )
ارسالة رسالة الى 21112 تحتوي على الرقم المطلوب تحويل الرصيد اليه ثم فراغ المبلغ المراد تحويله ثم ارسال
---------------------------------
طريقة تحويل الرصيد بالكورك
اكتب *215* الرقم المطلوب تحويل الرصيد اليه * المبلغ الذي ترغب بتحويله # اتصال ثم تاكيد
واذا كان عندك حساب وتريد تدعمنا هذا رابط الدعم على البايبال أضغط هنا
===========
👇 انتهى الموضوع رسالة اخيرة بالأسفل 👇
لا تفوت جديد التحديثات والشروحات!
انضم الآن إلى عائلتنا عبر منصات التواصل الاجتماعي لتكون أول من يتوصل بكل جديد وحصري.
انضم الآن إلى عائلتنا عبر منصات التواصل الاجتماعي لتكون أول من يتوصل بكل جديد وحصري.
واتساب
تيليجرام
فيسبوك
يوتيوب
انستجرام
تيك توك
ماسنجر
فايبر
بينتيريست
منصة X
ثريدز
تطبيقنا
نشكركم على دعمكم المستمر، وفي حال واجهتكم أي مشكلة لا تترددوا في مراسلتنا.

















عزيزي المشاهد لا تترك الموضوع بدون تعليق وتذكر ان تعليقك يدل عليك فلا تقل الا خيرا :: كلمات قليلة تساعدنا على الاستمرار في خدمتكم ادارة الموقع ... ( مَا يَلْفِظُ مِنْ قَوْلٍ إِلا لَدَيْهِ رَقِيبٌ عَتِيدٌ )