حل اسئلة رياضيات ثالث متوسط 2021 الدور الاول وزاري خارج العراق
اهلا بكم متابعي موقع وقناة الاستاذ احمد مهدي شلال في هذا الموضوع سنعرض لكم شرح كامل عن
حل اسئلة رياضيات ثالث متوسط 2021 الدور الاول وزاري خارج العراق
لا تنسى زيارتنا باستمرار للحصول على كل شيء جديد ومميز معنا محبكم 💗 لاتنسون احبكم
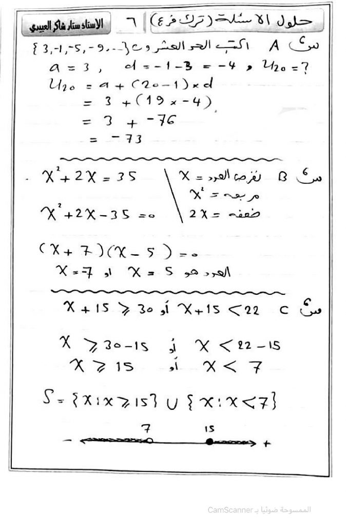
اجوبة اسئلة رياضيات ثالث متوسط 2021 الدور الاول
التقييم الكامل لاسئلة الرياضيات
الصف الثالث متوسط
الدور الأول خارج القطر 2021.
ترتيب الدرجات حسب الفصول
الفصل الاول 50 درجة
الفصل الثاني 55 درجة
الفصل الثالث 45 درجة
المجموع الكُلي : 150 درجة ، تجاوب على 100 درجة وتترك 50.
حلول واجوبة
الاسئلة
انتهى الموضوع شكرا (لك / لكِ)
مهم لك عزيزي الزائر الكريم شرفتنا ونحب تواجدك معنا
قنوات ومواقع التواصل الاجتماعي الرسمية للاستاذ احمد مهدي شلال تابعنا باي مكان تريد حيث المصداقية والحقيقة في النشر اولا باول وهذه هي المواقع الرسمية اختر ما تريد
القناة الرسمية على اليوتيوب أضغط هنا
الموقع الرسمي على الانترنت أضغط هنا
الصفحة الرسمية على موقع الانستكرام أضغط هنا
القناة على التلكرام أضغط هنا
صفحة الفيس بوك الرسمية أضغط هنا
تابعنا على تويتر أضغط هنا
كروب الاستاذ احمد على الفيس بوك الرسمي التعليمي أضغط هنا
قناة الالعاب أضغط هنا
--------------------------------
التعريف بالموقع : هذا الموقع تابع للاستاذ احمد مهدي شلال بشكل رسمي وكل ما ينشر في الموقع يخضع للمراقبة وموقع الاستاذ احمد غير مسؤول عن التعليقات على المواضيع كل شخص مسؤول عن نفسه عند كتابة التعليق بحيث لا يتحمل موقع الاستاذ احمد مهدي اي مسؤولية قانونية حيال ذلك
==========
ملاحظة مهمة : لاتنسى دائما ان للاستاذ احمد مهدي شلال قناة رسمية على موقع اليوتيوب باسم ( احمد مهدي شلال عباس المهداوي ) حيث اقوم بنشر شروحات دروس الرياضيات لكافة المراحل الدراسية مرحلة الابتدائي ( اول ابتدائي وثاني ابتدائي وثالث ابتدائي ورابع ابتدائي وخامس ابتدائي وسادس ابتدائي ) ومرحلة المتوسطة ( اول متوسط وثاني متوسط وثالث متوسط ) ومرحلة الاعدادية ( رابع علمي ورابع ادبي وخامس ادبي وخامس علمي تطبيقي وخامس علمي احيائي وسادس ادبي وسادس علمي احيائي وسادس علمي تطبيقي ) كلها تجدوها في قناتي الرسمية وايضا لدي قناة ثانية رسمية على موقع اليوتيوب باسم ( احمد مهدي Gaming ) مهتم بهذه القناة بمجتمع يختلف عن القناة الاولى في هذه القناة اقوم بنشر الالعاب الالكترونية بكل انواعها اسعى لزرع البسمة في وجوهكم وتغيير جو الدراسة
وفي موقعي هذا ايضا اقوم بنشر اسئلة امتحان متنوعه ، مرشحات , اجوبة نموذجية للسادس الاعدادي ، وكل شيء يخص الكليات والمعاهد في العراق ،
============
اذا كنت حاب تدعم الاستاذ احمد مهدي ماديا من داخل العراق وماعندك حساب باي بال او بطاقة مصرفية تكدر تدعمنا بتحويل رصيد حته لو بـ 1 الف دينار راح تسوي فضل كبير بتطوير القناة
دعمك النا هو سر استمرارنا شكرا لكل شخص قدم الدعم
واذا كان عندك حساب وتريد تدعمنا هذا رابط الدعم على البايبال أضغط هنا
===========
واذا كنت حاب تدعمنا بالرصيد يمكن معرفة التفاصيل بالضغط هنا







































عزيزي المشاهد لا تترك الموضوع بدون تعليق وتذكر ان تعليقك يدل عليك فلا تقل الا خيرا :: كلمات قليلة تساعدنا على الاستمرار في خدمتكم ادارة الموقع ... ( مَا يَلْفِظُ مِنْ قَوْلٍ إِلا لَدَيْهِ رَقِيبٌ عَتِيدٌ )