اسئلة امتحان نصف السنة 2023 رياضيات صف السادس العلمي التطبيقي مع الاجوبة النموذجية للمزيد من هذه المواضيع اكتب في محرك البحث قوقل موقع استاذ احمد مهدي شلال
اهلا وسهلا لا تنسى زيارتنا باستمرار في موقع الاستاذ احمد مهدي شلال للحصول على كل شيء جديد ومميز وانت الان في موضوع
اسئلة الرياضيات امتحان نصف السنة السادس العلمي التطبيقي 2023
نموذج امتحان مهم للطالب لامتحان نصف السنة
تقسيم درجات الاسئلة حسب الافصل
60 الفصل الاول
30 الفصل الثاني
40 الفصل الثالث
60 الفصل الاول
30 الفصل الثاني
40 الفصل الثالث
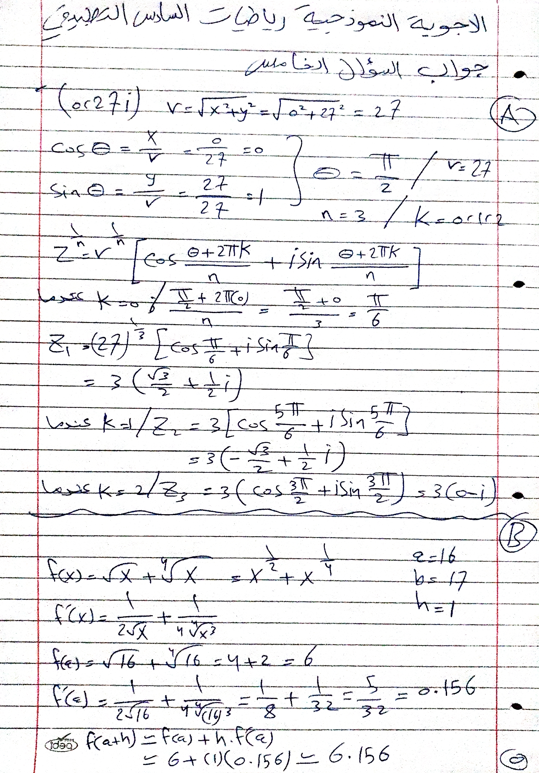
الاجوبة النموذجية اسئلة رياضيات اختبار نصف السنة السادس التطبيقي
انتهى الموضوع شكرا (لك / لكِ)
مهم لك عزيزي الزائر الكريم شرفتنا ونحب تواجدك معنا
قنوات ومواقع التواصل الاجتماعي الرسمية للاستاذ احمد مهدي شلال تابعنا باي مكان تريد حيث المصداقية والحقيقة في النشر اولا باول وهذه هي المواقع الرسمية
اختر ما تريد بالضغط على الايقونات ادناه
وتقبلو تحياتي
التعريف بالموقع : هذا الموقع تابع للاستاذ احمد مهدي شلال بشكل رسمي وكل ما ينشر في الموقع يخضع للمراقبة وموقع الاستاذ احمد غير مسؤول عن التعليقات على المواضيع كل شخص مسؤول عن نفسه عند كتابة التعليق بحيث لا يتحمل موقع الاستاذ احمد مهدي اي مسؤولية قانونية حيال ذلك
👇 انتهى الموضوع رسالة اخيرة بالأسفل 👇
لا تفوت جديد التحديثات والشروحات!
انضم الآن إلى عائلتنا عبر منصات التواصل الاجتماعي لتكون أول من يتوصل بكل جديد وحصري.
انضم الآن إلى عائلتنا عبر منصات التواصل الاجتماعي لتكون أول من يتوصل بكل جديد وحصري.
واتساب
تيليجرام
فيسبوك
يوتيوب
انستجرام
تيك توك
ماسنجر
فايبر
بينتيريست
منصة X
ثريدز
تطبيقنا
نشكركم على دعمكم المستمر، وفي حال واجهتكم أي مشكلة لا تترددوا في مراسلتنا.















عزيزي المشاهد لا تترك الموضوع بدون تعليق وتذكر ان تعليقك يدل عليك فلا تقل الا خيرا :: كلمات قليلة تساعدنا على الاستمرار في خدمتكم ادارة الموقع ... ( مَا يَلْفِظُ مِنْ قَوْلٍ إِلا لَدَيْهِ رَقِيبٌ عَتِيدٌ )