حلول اسئله الوزاري للصف السادس الابتدائي للسنوات السابقه اعداد المشرف التربوي زياد رمضان للمزيد من هذه المواضيع اكتب في محرك البحث قوقل موقع استاذ احمد مهدي شلال
اهلا وسهلا لا تنسى زيارتنا باستمرار في موقع الاستاذ احمد مهدي شلال للحصول على كل شيء جديد ومميز وانت الان في موضوع
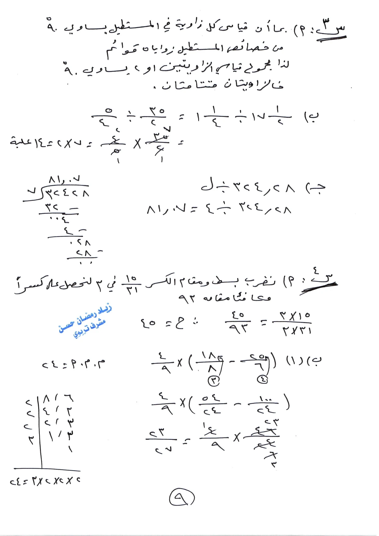
حل اسئلة الوزاري سادس ابتدائي مادة الرياضيات للسنين الماضية
الرياضيات للصف السادس الابتدائي حلول الاسئله الوزاريه للدور الاول والثاني عام 2022 مع اسئله التمهيدي 2022 2023 محلوله اعداد المشرف التربوي زياد رمضان حسن
اسئلة الوزاري مادة الرياضيات للصف السادس الابتدائي
انتهى الموضوع شكرا (لك / لكِ)
مهم لك عزيزي الزائر الكريم شرفتنا ونحب تواجدك معنا
قنوات ومواقع التواصل الاجتماعي الرسمية للاستاذ احمد مهدي شلال تابعنا باي مكان تريد حيث المصداقية والحقيقة في النشر اولا باول وهذه هي المواقع الرسمية
وتقبلو تحياتي
التعريف بالموقع : هذا الموقع تابع للاستاذ احمد مهدي شلال بشكل رسمي وكل ما ينشر في الموقع يخضع للمراقبة وموقع الاستاذ احمد غير مسؤول عن التعليقات على المواضيع كل شخص مسؤول عن نفسه عند كتابة التعليق بحيث لا يتحمل موقع الاستاذ احمد مهدي اي مسؤولية قانونية حيال ذلك
👇 انتهى الموضوع رسالة اخيرة بالأسفل 👇
لا تفوت جديد التحديثات والشروحات!
انضم الآن إلى عائلتنا عبر منصات التواصل الاجتماعي لتكون أول من يتوصل بكل جديد وحصري.
انضم الآن إلى عائلتنا عبر منصات التواصل الاجتماعي لتكون أول من يتوصل بكل جديد وحصري.
واتساب
تيليجرام
فيسبوك
يوتيوب
انستجرام
تيك توك
ماسنجر
فايبر
بينتيريست
منصة X
ثريدز
تطبيقنا
نشكركم على دعمكم المستمر، وفي حال واجهتكم أي مشكلة لا تترددوا في مراسلتنا.
























عزيزي المشاهد لا تترك الموضوع بدون تعليق وتذكر ان تعليقك يدل عليك فلا تقل الا خيرا :: كلمات قليلة تساعدنا على الاستمرار في خدمتكم ادارة الموقع ... ( مَا يَلْفِظُ مِنْ قَوْلٍ إِلا لَدَيْهِ رَقِيبٌ عَتِيدٌ )