الاجوبة النموذجية اسئلة الرياضيات الدور الثاني 2024 الثالث المتوسط
اسئلة واجوبة امتحان رياضيات ثالث متوسط وزاري دور 2
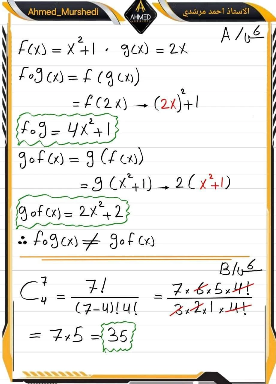
الاسئلة الوزارية للصف الثالث المتوسط مع الاجوبة النموذجية امتحان الرياضيات الدور الثاني للعام الدراسي 2023 2024
اسئله الرياضيات للثالث المتوسط الدور الثاني 2024
👇 انتهى الموضوع رسالة اخيرة بالأسفل 👇
لا تفوت جديد التحديثات والشروحات!
انضم الآن إلى عائلتنا عبر منصات التواصل الاجتماعي لتكون أول من يتوصل بكل جديد وحصري.
انضم الآن إلى عائلتنا عبر منصات التواصل الاجتماعي لتكون أول من يتوصل بكل جديد وحصري.
واتساب
تيليجرام
فيسبوك
يوتيوب
انستجرام
تيك توك
ماسنجر
فايبر
بينتيريست
منصة X
ثريدز
تطبيقنا
نشكركم على دعمكم المستمر، وفي حال واجهتكم أي مشكلة لا تترددوا في مراسلتنا.












عزيزي المشاهد لا تترك الموضوع بدون تعليق وتذكر ان تعليقك يدل عليك فلا تقل الا خيرا :: كلمات قليلة تساعدنا على الاستمرار في خدمتكم ادارة الموقع ... ( مَا يَلْفِظُ مِنْ قَوْلٍ إِلا لَدَيْهِ رَقِيبٌ عَتِيدٌ )